
2025년 5월, 경기도 화성시 동탄2신도시 A76-2BL에 위치한 동탄 포레파크 자연&푸르지오 국민주택 청약이 시작됩니다.
총 1,524세대 중 무주택 실수요자를 위한 1,121세대 공공분양으로, 신혼부부·생애최초·신생아·다자녀·노부모부양 등 특별공급이 대거 포함됩니다. 동탄 포레파크 자연&푸르지오의 청약 정보 알아보았으니, 참고바랍니다!
✅ 꼭 확인해야 할 청약 필수 조건

🔺 무주택 기준일: 2025년 5월 9일 (입주자모집공고일 기준)
✅ 동탄 포레파크 자연&푸르지오 청약 일정 요약


청약은 모두 청약홈(https://www.applyhome.co.kr) 또는 모바일 앱을 통해 온라인으로 접수해야 합니다.

🟢서류 접수는 동탄 포레파크 홈페이지를 통한 사전방문 예약 후, 구비서류 지참하여 방문하셔야 합니다.
견본 주택 주소는 아래 그림과 같습니다.

✅ 동탄 포레파크 자연&푸르지오 단지 개요

- 단지명: 동탄 포레파크 자연&푸르지오
- 위치: 경기도 화성시 산척동 749번지 (A76-2BL)
- 규모: 지하 2층~지상 25층, 17개 동, 총 1,524세대
- 공급 세대수: 국민주택 1,121세대 (전용 84㎡ A/B/C/D 타입)
- 입주 예정일: 2028년 7월
- 발코니 확장: 선택 불가, 전체 확장형 시공 (84A 기준 292만 원 별도)
✅ 특별공급 요건별 정리

🔹 신혼부부 특별공급
- 혼인 7년 이내 또는 예비신혼부부 포함
- 자녀 있음 또는 임신 확인 가능
- 도시근로자 월평균소득 100~140% 이하 (맞벌이 140%)
- 입주자저축 6회 이상 납입
- 가점 요소: 소득 낮고 자녀 많을수록 유리
- 당첨 시 임신·출산 서류 증빙 필수

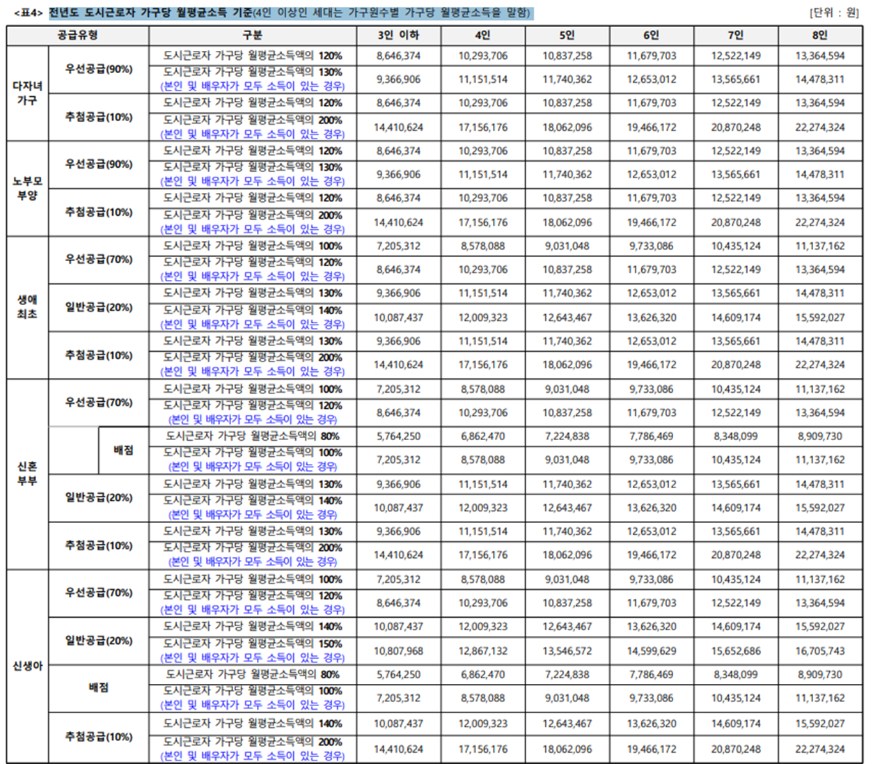
🟢소득기준은 위의 표와 같습니다.
자세한 내용은 모집공고 13P를 참고해주세요!
🔹 신생아 특별공급
- 최근 2년 이내 출생 자녀 또는 태아 포함
- 무주택 세대구성원
- 소득: 도시근로자 평균소득의 140% 이하 (맞벌이 200%)
- 입주자저축 6회 이상 납입
- 증빙서류: 출산진단서 또는 출생신고서
🔹 생애최초 특별공급
- 주택 소유 이력 전무
- 혼인 또는 자녀 있음
- 최근 5년 이상 근로 또는 사업소득 보유
- 소득: 도시근로자 평균소득 130% 이하
- 입주자저축 12회 이상 납입
🔹 다자녀가구 특별공급
- 미성년 자녀 3명 이상 (태아 포함 가능)
- 소득 기준: 도시근로자 평균 120~140% 이하
- 무주택 세대 + 입주자저축 6회 이상 납입
- 추첨 + 가점 혼합
🔹 노부모부양 특별공급
- 65세 이상 직계존속과 3년 이상 동일세대 거주
- 소득: 도시근로자 평균소득의 130% 이하
- 무주택 + 입주자저축 조건 충족 필수
- 부양 관계 증빙서류 필요
✅ 동탄 포레파크 자연&푸르지오 분양가 및 자금 계획 요약

🟢 공급 타입: 전용 84㎡ 이하 (84A, 84B, 84C, 84D – 총 4개 타입)
🟢 분양가 범위: 약 5.6억 원 ~ 5.9억 원
※ 발코니 확장비 별도 (84A 기준 2,922,000원)

📌 납부 일정 (예시: 84A 기준)
- 계약금 (10%): 2025.11.20
- 중도금 (10%씩 6회): 2026.06.22 ~ 2028.02.21
- 잔금 (30%): 입주시 일괄 납부
※ 주택도시기금 대출 가능, 다만 대출 가능 여부는 개별 금융기관 심사에 따름
⚠️ 유의사항 요약
- 분양가는 산정 당시 기준으로 추후 변경될 수 있으며, 실제 계약 전 반드시 홈페이지 확인 필요
- 분양가에는 발코니 확장비가 포함되지 않음
- 공급금액은 타입, 층수, 위치에 따라 차등 적용됨
- 중도금 납부 일정은 고정되어 있으며, 별도 분할 불가
- 입주자에게 주택도시기금 기준의 대출지원 가능 (단, 대출심사에 따라 한도·조건 달라짐)
📌 공식 공급가격 확인:
👉 동탄 푸르지오 공식 홈페이지
✅당첨자 선정 방식 (3단계 구조)

동일 순위 내 경쟁 시 우선순위:
무주택 기간 > 입주자저축 납입 횟수 > 자녀 수
✅이런 분들께 추천합니다

✔ 무주택 기간이 길고 납입 횟수 많은 실수요자
✔ 신혼부부, 생애최초, 다자녀 등 특별공급 대상자
✔ 소득 기준 충족하는 40~50대 실거주 희망자
✔ 화성·경기 지역 장기 거주자
✔ 전매제한, 재당첨 제한을 감수할 수 있는 실입주자
🔗 청약 관련 필수 링크
✨ 마무리 정리
동탄 포레파크 자연&푸르지오 청약은 실입주 목적의 무주택자에게 매우 유리한 기회입니다.
신혼부부, 생애최초, 신생아 등 특별공급 대상자라면 자격 조건을 충족해 경쟁력 있는 분양가로 입주할 수 있는 2025년 최고의 공공분양 단지입니다.
👉 지금 바로 청약홈에서 조건 확인 후 준비하세요!
✅ 서류는 미리 준비!
✅ 무주택 여부는 꼼꼼히 검토!
✅ 소득·자산 기준 확인 필수!
함께 보면 좋은 글
동탄 꿈의숲 자연앤 데시앙(A78BL) 분양 정보
동탄2신도시에 들어서는 동탄 꿈의숲 자연앤 데시앙(A78BL)은 실수요자와 투자자 모두에게 주목받는 공공분양 단지인데요,총 1,170세대의 전용 74㎡·84㎡ 이하 국민주택이 공급되며, 마이너스옵션
dongdongblog.co.kr
고척 푸르지오 힐스테이트 분양정보|청약 일정, 자격, 분양가, 평면도까지
서울 구로구 고척동에 위치한 ‘고척 푸르지오 힐스테이트’가 드디어 입주자모집공고를 발표하고 본격적인 분양에 돌입했습니다.서울 내 보기 드문 신축 대단지 아파트로 실거주자와 투자자
dongdongblog.co.kr
내집마련 디딤돌대출, 금리, 조건, 자격, 한도, 서류 (2025년 최신)
경제정보공유센터
economy.dongdongblog.co.kr
아파트 경매 방법, 절차, 주의 사항, 대행 수수료 알아보니
아파트 경매는 시세보다 저렴하게 내 집 마련이 가능한 방법 중 하나지만, 복잡한 절차와 주의사항도 많습니다.이번 포스팅에서는 초보자도 이해할 수 있도록 아파트 경매 방법, 절차, 대행 수
dongdongblog.co.kr
'부동산' 카테고리의 다른 글
| 동탄 포레파크 자연& 푸르지오(A76-2BL) 민영주택 입주자 모집공고 (0) | 2025.05.13 |
|---|---|
| 힐스테이트 메디알레 청약 총정리|자격·일정·분양가 (0) | 2025.05.13 |
| 동탄 꿈의숲 자연앤 데시앙(A78BL) 분양 정보 (0) | 2025.05.13 |
| 고척 푸르지오 힐스테이트 분양정보|청약 일정, 자격, 분양가, 평면도까지 (0) | 2025.05.12 |
| 고양 더샵포레나 아파트 분양정보|청약 자격·분양가·특별공급 (0) | 2025.05.12 |